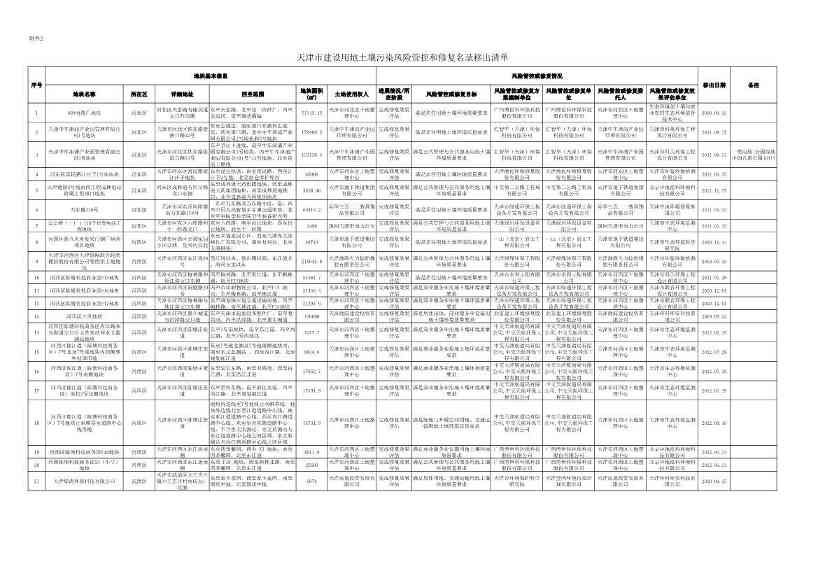
北极星环境修复网获悉,10月26日,天津市生态环境局、市规划资源局发布天津市建设用地土壤污染风险管控和修复名录及名录移出清单(2022年第二批次),详情如下:
市生态环境局 市规划资源局关于发布天津市建设用地土壤污染风险管控和修复名录及名录移出清单(2022年第二批次)的通知
津环土〔2022〕99号
各区生态环境局、规划资源分局:
为贯彻落实《中华人民共和国土壤污染防治法》、《天津市土壤污染防治条例》,加强我市建设用地土壤环境管理,实行建设用地土壤污染风险管控和修复名录制度,根据《建设用地土壤污染风险管控和修复名录及修复施工相关信息公开工作指南》(公告〔2021〕71号)要求,市生态环境局会同市规划资源局对我市建设用地土壤污染风险管控和修复名录及名录移出清单(2022年第二批次)进行了更新,现予发布。请各区监督土壤污染责任人、土地使用权人严格落实《中华人民共和国土壤污染防治法》、《天津市土壤污染防治条例》相关要求,做好污染地块风险管控工作,严防污染地块违法违规开发利用。
市生态环境局 市规划资源局
2022年10月9日
(联系人:市生态环境局 韩丽
联系电话:87671532;
市规划资源局 袁昭
联系电话:23145288)
(此件主动公开)



