近日,深圳市生态环境局公示2024年环境信息依法披露企业名单,公示时间为2024年3月15日-2024年3月28日。
深圳市生态环境局关于公示2024年环境信息依法披露企业名单的通知
各有关单位:
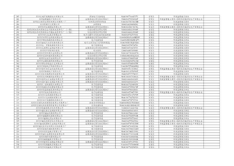
根据《企业环境信息依法披露管理办法》(生态环境部令第24号)第七条、第八条以及第十条规定,结合我市实际,市生态环境局制定了《深圳市2024年环境信息依法披露企业名单》(见附件),现予以公示。
公示时间为2024年3月15日-2024年3月28日,在公示期内,企事业单位如对公示名单有不同意见的,须向辖区生态环境局管理局反馈意见,逾期未反馈视为无意见。
附件:深圳市2024年环境信息依法披露企业名单
深圳市生态环境局
2024年3月15日
(联系人:郑清森,电话:0755-83590514)




















