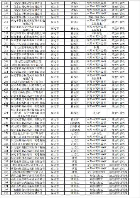
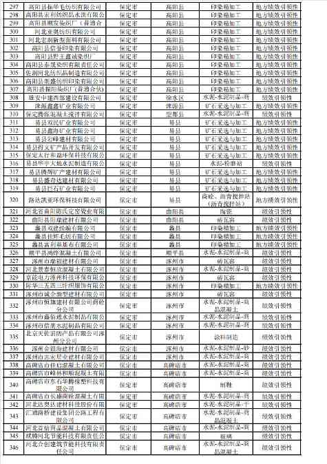
近日,河北省发布了2024年河北省重污染天气重点行业环保绩效A、B级和绩效引领性企业清单,A级企业共327家,B级企业共2132家,绩效引领性企业共555家。详情如下:
关于2024年河北省重污染天气重点行业环保绩效A、B级和绩效引领性企业清单的公示
按照生态环境部《重污染天气重点行业应急减排措施制定技术指南(2020年修订版)》(环办大气函〔2020〕340号)和《河北省十一个行业重污染天气应急减排措施制定技术指南(试行)》(冀气领办〔2021〕92号)要求,省生态环境厅组织对全省50个行业开展重污染天气绩效分级工作。根据工作程序,现对全省重点行业环保绩效A级、B级和绩效引领性企业清单予以公示。
附件: 1. 河北省重点行业环保绩效A级企业清单.xlsx
2.河北省重点行业环保绩效B级企业清单.xlsx
3.河北省重点行业环保绩效引领性企业清单.xlsx
河北省生态环境厅
2024年4月28日
河北省重点行业环保绩效A级企业清单








河北省重点行业环保绩效B级企业清单












































河北省重点行业环保绩效引领性企业清单










